“공무원은 안정적이긴 한데… 월급이 너무 적잖아?” 수험생 커뮤니티에서 흔히 들을 수 있는 말입니다.
하지만 2025년부터 그 이야기에 조금 변화가 생길지도 모르겠습니다.
특히 올해는 ‘9급 1호봉’ 신규 공무원에게 유독 반가운 해예요.
기본 봉급 인상폭이 크고, 수당 구조도 점점 체계화되면서 실수령액 체감이 달라졌거든요.
이번 글에서는 “도대체 어느 정도 받을 수 있는 건지?” 궁금하셨던 분들을 위해 정리해드립니다.
그리고 향후 몇 년간의 인상 전망까지 같이 살펴볼게요.

목차 안내
9급 1호봉의 월급, 수당 포함하면 얼마나 될까?
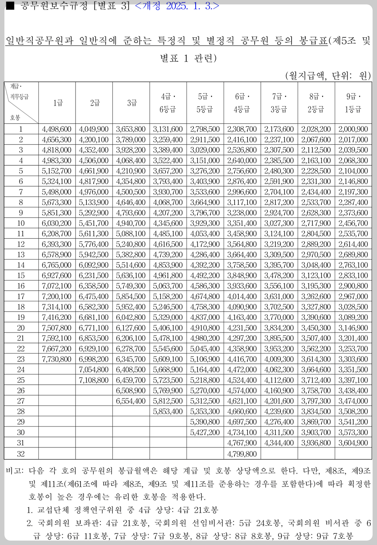
2025년 기준, 9급 공무원 1호봉의 기본 봉급은 2,000,900원입니다.
그러나 실수령액은 이보다 적게 시작되죠. 왜냐하면 세금과 4대 보험이 기본 봉급에서 빠지기 때문이에요.
실제 입금되는 금액은 약 170만 원 중후반대로 시작됩니다.
여기서 많은 분들이 실망하시지만, 수당이 바로 반전의 열쇠입니다.
1) 실수령액에 영향을 주는 수당 구성
9급 공무원이 받는 수당은 직무, 근무 환경, 가족 상황 등에 따라 다양하게 책정됩니다.
일반적인 예를 들어보면 다음과 같아요:
- 직급보조비: 약 13만 원
- 정근수당(연 2회 기준 환산): 약 19만 원
- 시간외근무수당: 약 20~40만 원 (근무량에 따라 변동)
- 가족수당: 약 9만 원 이상
모두 합치면 실수령액은 평균적으로 200만 원 중후반대까지 올라갑니다.
이 정도면 민간 중소기업 평균 초봉과 유사한 수준이죠.
팁
명절수당과 상여금이 함께 나오는 달엔 월급이 300만 원을 넘을 수 있습니다.
정기적 수당 외 계절성 보너스도 체크해보세요!
2) 요약 정리
- 기본급: 2,000,900원
- 세후 실수령: 약 170만 원대
- 수당 포함 실수령: 220~270만 원 (개인 차이 있음)
이처럼 단순 기본급만 보고 판단하면 실제 느낌과는 차이가 큽니다.
실제 수령액 기준으로 계산하는 게 중요합니다.
왜 저연차 공무원에게만 많이 올려줬을까?
2025년 공무원 보수 인상률은 전체 평균 3%입니다. 하지만 9급 1호봉의 인상률은 6.6%에 달하죠.
왜 이런 차이가 생겼을까요?
핵심은 바로 ‘초임 경쟁력’ 확보입니다.
1) 민간 초봉과의 경쟁 구도
| 구분 | 2025년 초봉 | 비고 |
|---|---|---|
| 대기업 평균 | 400만 원 | 성과급 제외 기준 |
| 중견기업 평균 | 280만 원 | KOSBI 통계 기준 |
| 9급 공무원 | 약 250만 원 | 수당 포함 기준 |
이처럼 민간과의 격차가 벌어지면서, 정부는 초임 공무원의 유출 방지를 위해 저연차 보수 중심의 전략을 택한 것입니다.
수당으로 버티는 구조, 현실은 어떨까?
공무원 보수체계는 기본급보다 수당 의존도가 높습니다.
근무 환경과 시간외 근무가 적으면 실수령액이 확 떨어질 수 있다는 이야기죠.
이러한 구조에 대해 어떤 시사점이 있을까요?
1) 수당 중심 구조의 장단점
- 🔹 장점: 근무량이 많을수록 수입 증가
- 🔹 단점: 정시 퇴근 시 실수령이 줄어듬
- 🔹 장점: 다양한 가족수당, 육아수당 혜택
- 🔹 단점: 기본급만으론 생활이 빠듯할 수 있음
기본급 인상 + 수당 구조 개선이 병행되어야 더 지속 가능한 보수체계가 될 수 있습니다.
2026년 공무원 월급, 얼마나 오를까?
2026년에도 2025년과 유사하게 저연차 공무원 중심의 인상이 예상됩니다.
하지만 물가상승률, 민간 초봉, 재정 여건에 따라 여러 시나리오가 가능하죠.
1) 예상 시나리오 3가지
| 시나리오 | 인상률 | 예상 월급 |
|---|---|---|
| 보수적 | 약 2% | 2,040,000원 |
| 중립적 | 약 2.5~3% | 2,060,000원 |
| 적극적 | 4% 이상 | 2,100,000원 이상 |
정부의 목표는 '체감 보상 개선'입니다.
단순 숫자 이상의 의미가 담긴 인상 정책이 될지, 2026년 예산안이 발표되면 더 명확해지겠죠.
직군별 봉급표 요약: 한눈에 비교하기
9급 공무원이라 해도 직군에 따라 기본봉급과 수당이 달라질 수 있습니다.
아래는 주요 직군별 봉급 구분 요약표입니다.
| 직군 | 기본봉급 | 특이사항 |
|---|---|---|
| 일반직 9급 | 2,000,900원 | 기본형 |
| 경찰/소방 | 약간 상향 | 위험근무 수당 포함 |
| 교육직 | 동일 | 정근수당 등 유사 |
| 국립대학 교원 | 상대적 고소득 | 성과급 등 별도 |
📸 직군별 봉급표를 구경해 볼까요?!
- 1. 일반 9급 공무원 1호 기본 봉급표

- 2. 경찰공무원/소방공무원 봉급표

- 3. 학교 교원 봉급표

- 4. 군인 봉급표

- 5. 공안업무 공무원 봉급표

- 6. 연구직 및 국가정보원 전문관 봉급표

- 7. 우정직 공무원 봉급표

- 8. 국립대학 교원 봉급표

공무원 월급의 진짜 가치, 장기전의 승자는?
공무원 월급이 민간보다 낮다고 해서 단점만 있는 건 아닙니다. 장기적인 총수입을 따지면 얘기가 달라집니다.
1) 장기 혜택 리스트
- 정년까지 고정된 급여 체계
- 연금 포함한 퇴직 후 소득 안정성
- 무이자 대출, 복지 포인트 등 부가 혜택
- 고용 안정성으로 인한 주거 및 금융 신용 우위
민간은 짧고 굵게, 공무원은 길고 안정적으로 수익을 확보합니다. 여러분은 어떤 길을 선택하시겠어요?
자기 진단 질문: "나는 단기 고소득보다 장기 안정성을 더 중요하게 생각하나요?"
자주 묻는 질문 (FAQ)
Q1. 9급 공무원 실수령액이 정말 250만 원 넘나요?
이런 궁금증이 드는 건 당연합니다. 기본급만 보면 절대 그 수준이 아니니까요. 하지만 시간외근무수당, 정근수당, 직급보조비, 가족수당 등이 합쳐지면 평균적으로 220~270만 원 수준이 가능합니다. 특히 상여금 지급 시기에는 300만 원 넘는 받는 사례가 많습니다.
Q2. 시간외수당을 받으려면 무조건 야근을 해야 하나요?
제 경험상, 반드시 밤늦게까지 일해야 한다는 건 아닙니다. 부서마다 '근무시간 외 처리량'이 필요한 곳이 있고, 그런 부서에서는 자연스럽게 수당이 따라옵니다. 반대로 비교적 조용한 부서에서는 시간외수당이 거의 없을 수도 있으니, 배치 부서의 성격에 따라 크게 달라집니다.
Q3. 복지포인트는 어디에 쓸 수 있나요?
복지포인트는 의외로 다양하게 사용 가능합니다. 대표적으로는 건강검진, 자기계발(학원, 강의), 문화생활(영화, 공연), 육아용품, 여행 상품권 등입니다.
- 건강관리비: 병원비, 헬스장 이용
- 문화생활비: 공연, 영화 관람
- 교육비: 학원, 자격증 시험 등
Q4. 민간기업과 비교해도 공무원이 유리한가요?
대부분 단기소득 기준만 비교합니다. 하지만 공무원은 장기 고정수익 + 퇴직연금이라는 구조 덕분에 20년 이상 일할 계획이라면 훨씬 안정적이고 누적 소득도 높아질 수 있습니다. 중장기적 관점에서 유리한 구조입니다.
Q5. 수당이 없으면 생활이 어려울 수도 있나요?
맞습니다. 수당은 공무원 급여의 핵심 중 하나입니다. 수당이 적거나 없는 부서에 배치되면, 기본급만으로는 생활이 빠듯할 수 있습니다. 이런 점에서 수당 체계 개선 요구가 계속 나오는 것이죠. 따라서 부서배치나 근무 형태를 고려한 전략적 선택이 필요합니다.
Q6. 오히려 적게 받는 공무원도 있나요?
많지는 않으나 있긴 합니다. 특히 정시 퇴근이 일상화된 부서에 근무하거나 수당 조건이 충족되지 않으면 기본급 수준만 받는 경우도 있어요. 따라서 전체적인 평균만을 보고 지원하는 것은 조심해야 합니다. 반대로 말하면, 수당 많은 부서를 만난다면 같은 직급이라도 차이가 큽니다.
결론
처음 이 글을 시작할 때, ‘공무원 초봉, 정말 괜찮은 걸까?’라는 질문에서 출발했죠.
2025년 기준으로 보면, 단순히 기본급만 봤을 때는 실망스러울 수 있지만, 수당과 복지, 그리고 장기적인 안정성을 고려하면 이야기가 달라집니다.
짧은 시선으론 놓치기 쉬운 공무원 보수 체계의 장점들. 그 속을 들여다보면 ‘생각보다 괜찮은 선택’이란 생각이 들 수도 있습니다.
💡 지금 할 수 있는 3가지
- 하나, 자신이 원하는 직군의 수당 체계를 직접 확인해보세요.
- 둘, 2026년 인상 추이를 체크하면서 ‘보수 구조’의 변화도 함께 살펴보세요.
- 셋, 지금 이 정보가 유용했다면, 친구나 동료와 공유해보세요. 같이 준비하면 더 강해집니다!
함께 이야기 나눠요
이 글이 도움이 되셨다면, 댓글로 여러분의 생각이나 경험을 들려주세요! 😊
직접 겪어보신 월급 체감이나, 궁금했던 점도 환영합니다.
또한, 같은 고민을 하는 주변 분들에게 이 정보를 공유해주세요. 한 사람의 정보가 열 사람에게 도움이 될 수 있습니다.
'Money & Benefits' 카테고리의 다른 글
| ChatGPT 2025, 모델별 차이와 요금제 할인 꿀팁 총정리 (0) | 2025.04.16 |
|---|---|
| 2025년 기준, 쿠팡 파트너스 상위 1%의 월평균 수익은? (4) | 2025.04.16 |
| 2025 글로벌 반도체 산업 동향과 국내 반도체 산업 전망 (1) | 2025.04.15 |
| 팔로워 0명으로도 수익을? 인스타그램의 숨겨진 비밀 (2) | 2025.04.14 |
| 월 최대 50만 원 지원! 2025 청년취업성공패키지 혜택 총정리 (0) | 2025.04.14 |